凤楼阁论坛在线导航,栖凤阁论坛官网入口,栖凤楼茶楼论坛永久地址

您的位置: 首页 >招生就业>招生咨讯>详细内容

招生咨讯

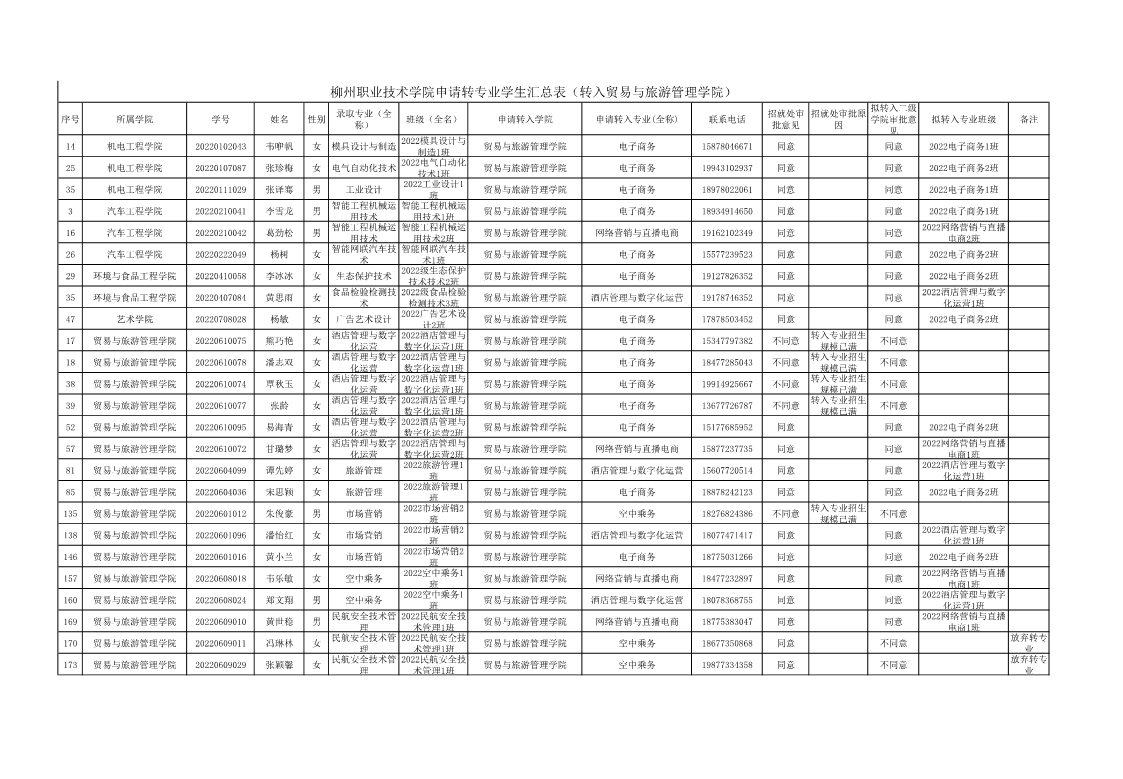
贸易与旅游管理学院关于2022级学生转专业申请审核结果的公示

来源: 发布时间:2022-09-27 16:37:39 浏览次数: 【字体:

各班级:

根据《柳州职业技术学院学生学籍管理规定(修订稿)》(柳职院教字(2021)21号)、《柳州职业技术学院2022级学生转专业实施方案》(柳职院教字(2022)31号)有关规定,经学生个人申请,学校相关部门审核,现对转入贸易与旅游管理学院的转专业审核结果进行公示,具体名单见附件。公示时间为2022年9月27日-2022年9月29日。

如对公示结果有异议,请于2022年9月29日前以书面形式实名反馈情况,送至社湾校区崇文楼505,联系人:夏佩,联系电话:3156327。

                                                 贸易与旅游管理学院

                                                二〇二二年九月二十七日



终审:贸易与旅游管理学院
分享到:
【打印正文】
×

用户登录